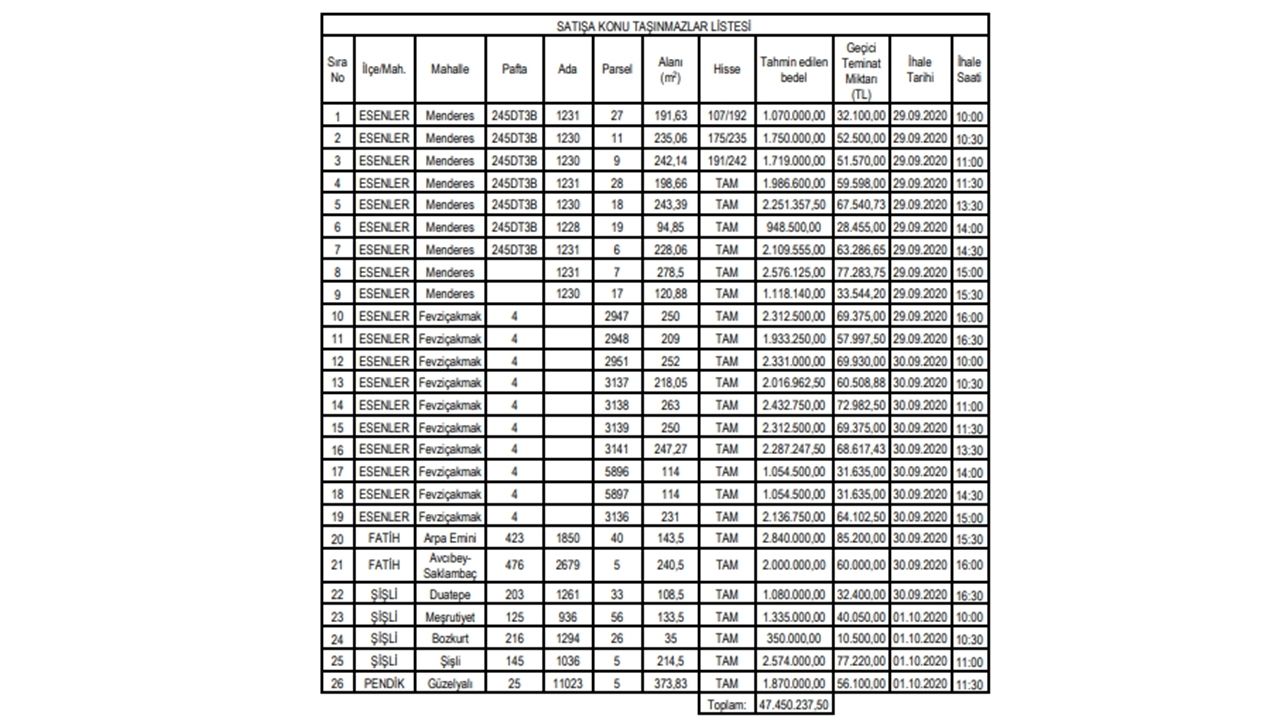
İstanbul Büyükşehir Belediyesi İETT İşletmeleri Genel Müdürlüğü, Esenler, Fatih, Şişli ve Pendik'ta bulunan 26 taşınmazı 47 milyon 450 bin 237 TL'ye satıyor. Gayrimenkullerin ihalesi 1 Ekim 2020 günü gerçekleşecek.
Esenler'de 19, Fatih'te 2, Şişli'de 4 adet ve Pendik'te 1 adet taşınmaz 2886 sayılı Devlet İhale Kanununun 45. maddesi doğrultusunda açık teklif usulü arttırma ile her kalem için ayrı ayrı olmak üzere kısmi teklife açık olarak satılacak.
Satışa konu olan 26 taşınmazın ihalesi için şartnamenin alınabileceği ve ihalenin gerçekleeceği yer ise Satınalma Daire Başkanlığı İhale İşleri Müdürlüğü Hizmet İşleri Şefliği Şahkulu Mahallesi, Erkan-ı Harp Sokak'ta. Şartname bedeli 200 TL olarak belirlendi.

İhaleye katılmak isteyen isteklilerde aşağıdaki şartlar aranıyor:
İsteklilerin:
A - Kanuni İkametgâhı olması.
B - Türkiye’de tebligat için adres göstermesi.
C - Ticaret / Sanayi Odası Belgesi veya İmza Beyannamesi.
Gerçek kişi olması halinde:
a) Noter tasdikli İmza Beyannamesi, Tüzel kişi olması halinde:
a) Tüzel kişi olması halinde ilgisine göre ticaret, sanayi odası veya esnaf ve sanatkar siciline kayıtlı olduğunu gösterir belge.
b) Tüzel kişi olması halinde tüzel kişiliğin idare merkezinin bulunduğu yer mahkemesinden veya siciline kayıtlı bulunduğu ticaret veya sanayi odasından veya benzeri bir makamdan, ihalenin yapıldığı yıl içinde alınmış, tüzel kişiliğin sicile kayıtlı olduğuna dair belge, (Türkiye’de şubesi bulunmayan yabancı tüzelkişiliğin belgelerinin, bu tüzel kişiliğin bulunduğu ülkedeki Türk Konsolosluğunca veya Türkiye Dışişleri Bakanlığınca onaylanmış olması gerekir.) Ortak girişim olması halinde ortak girişimi oluşturan gerçek veya tüzelkişilerin her birinin (a) ve (b) deki esaslara göre temin edecekleri belge.
D - İmza sirküleri vermesi.
a) Gerçek kişi olması halinde noter tasdikli imza beyannamesi.
b) Tüzel kişi olması halinde, tüzel kişiliğin noter tasdikli imza sirküleri (Türkiye’de şubesi bulunmayan yabancı tüzel kişiliğin sirkülerinin bu tüzel kişiliğin bulunduğu ülkedeki Türk konsolosluğunca veya Türkiye Dışişleri Bakanlığınca onaylanmış olması gerekir.)
c) Ortak girişim olması halinde ortak girişimi oluşturan gerçek kişi veya tüzel kişilerin her birinin (a) ve (b) fıkralarındaki esaslara göre temin edecekleri belge.
E- İstekliler adına vekaleten ihaleye iştirak ediliyor ise, istekli adına teklifte bulunacak kimselerin vekaletnameleri ile vekaleten iştirak edenin noter tasdikli imza sirküleri vermesi (Türkiye’de şubesi bulunmayan yabancı tüzel kişilerin vekaletnamelerinin bulunduğu ülkedeki Türk konsolosluğunca veya Türkiye dışişleri bakanlığınca onaylanmış olması gereklidir.)
F-Tahmin edilen bedelin %3 ü oranında geçici teminat vermesi. Teminat mektupları dışındaki teminatların İETT İşletmeleri Genel Müdürlüğünün Vakıfbank T.A.O Validesultan Şubesi İban: TR93 0001 5001 5800 7292 3235 35 no'lu hesabına İşin Adı ile Geçici teminat olduğunu belirterek yatırılması ve makbuzlarının İhale Komisyonuna sunulması gerekir.
G- İsteklilerin ortak girişim olması halinde bu şartnameye ekli örneğe uygun ortak girişim beyannamesi ile ortaklarca imzalı ortaklık sözleşmesi vermesi, (İhale üzerinde kaldığı takdirde noter tasdikli ortaklık sözleşmesi verilir. Ayrıca, grubun bütün ortaklıkları idare ile yapacakları ihale sözleşmesini şahsen veya vekilleri vasıtasıyla imzalarlar)
emlakkulısı
Yorumlar
Kalan Karakter: